基本信息:
中文名稱 槲皮素
中文別名 櫟精;櫟精.槲皮黃素;
英文名稱 quercetin
英文別名 3,3'',4'',5,7-pentahydroxylflavone;MELETIN;SOPHORETIN;QUERCITIN;kvercetin;QUERCETOL;3,3'',4'',5,7-Pentahydroxyflavone;QUERCETINE;QUERTINE;Sophretin;2-(3,4-Dihydroxyphenyl)-3,5,7-trihydroxy-4H-chromen-4-one;Quercetin;2'',3,4'',5,7-pentahydroxyflavone;
CAS號 117-39-5
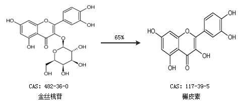
合成路線:
1.通過金絲桃苷合成槲皮素,收率約65%;

2.通過異懈皮苷合成槲皮素

合成路線僅供參考