基本信息:
中文名稱 雌馬酚
中文別名 (S)-3,4-二氫-3-(4-羥基苯基)-2H-1-苯并吡喃-7-醇;雌馬酚,4'',7-異黃烷二酚;
英文名稱 Equol
英文別名 R,S-EQUOL;4'',7-ISOFLAVANDIOL;4'',7-DIHYDROXYISOFLAVAN;7,4''-ISOFLAVANDIOL;(S)-3-(4-Hydroxyphenyl)chroman-7-ol;
CAS號 531-95-3
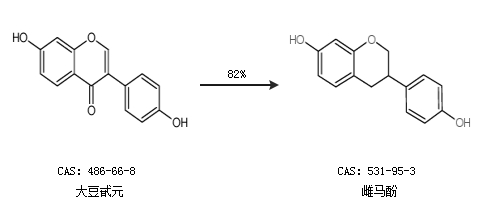
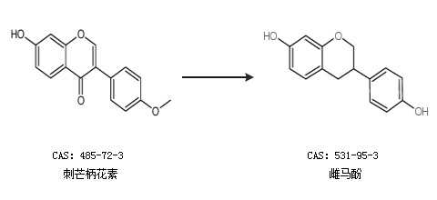
合成路線:
1.通過大豆甙元合成雌馬酚,收率約82%;

2.通過刺芒柄花素合成雌馬酚

合成路線僅供參考