基本信息:
中文名稱 左炔諾孕酮
中文別名 左旋甲炔諾酮;(-)-炔諾孕酮;(-)-炔諾孕酮;D(–)-17α-乙炔基-17β-羥基-18-甲基雌甾-4-烯-3-酮;D-(-)-甲基炔諾酮;D-(-)-炔諾孕酮;13β-Ethyl-17α-ethynyl-17β-hydroxygon-4-en-3-one;D(-)-炔諾孕酮;
英文名稱 [18,19-Dinorpregn-4-en-20-yn-3-one-13-ethyl-17-hydroxy-,(17.α.)-(-)-]
英文別名 microluton;Levonorgestrel;Levonorgestrel;Norgeston;Microval;[3H]-Levonorgestrel;norplant2;levonova;Levonelle;follistrel;Microlut;postinor;wy-5104;
CAS號 797-63-7
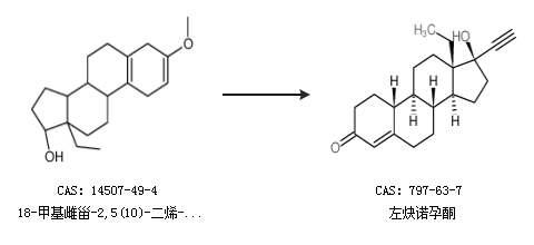
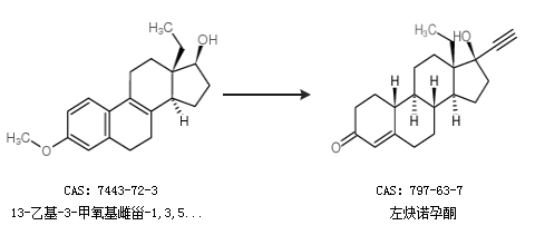
合成路線:
1.通過18-甲基雌甾-2,5(10)-二烯-3&beta合成左炔諾孕酮

2.通過13-乙基-3-甲氧基雌甾-1,3,5(10),8-四烯-17b-醇合成左炔諾孕酮

合成路線僅供參考