基本信息:
中文名稱 2-氨基-6-氯-3-甲酰色酮
中文別名 2-氨基-6-氯-4-氧代-4H-1-苯并吡喃-3-甲醛;2-氨基-6-氯色酮-3-甲醛;2-氨基-6-氯-3-甲酸基色酮;2-氨基-6-氯-3-甲?;?2-氨基-6-氯-4-氧-4H-1-苯并吡喃-3-甲醛;
英文名稱 2-AMINO-6-CHLORO-3-FORMYLCHROMONE
英文別名 2-amino-6-chloro-4-oxochromene-3-carbaldehyde;
CAS號(hào) 68301-77-9
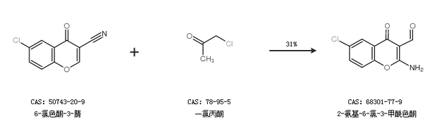
合成路線:
1.通過(guò)6-氯色酮-3-腈合成2-氨基-6-氯-3-甲酰色酮,收率約68%;

2.通過(guò)6-氯色酮-3-腈和一氯丙酮合成2-氨基-6-氯-3-甲酰色酮,收率約31%;

合成路線僅供參考