基本信息:
中文名稱 四丁基高氯酸銨
中文別名 四正丁基高氯酸銨;過氯酸四丁基銨;
英文名稱 tetrabutylazanium,perchlorate
英文別名 tetrabutylazanium perchlorate;TBA perchlorate;Bu4N(1+)*ClO4(1-);tetra-n-butylammonium perchlorate;[(n-Bu)4N]ClO4;Tetrabutylammonium Perchlorat;n,n,n-tributylbutan-1-aminium perchlorate;TetrabutylaMMoniuM Perchlorate;Tetrabutylammonium perchlorate;
CAS號(hào) 1923-70-2
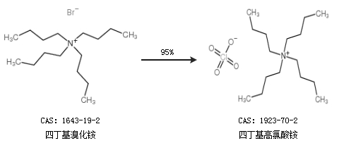
合成路線:
1.通過四丁基溴化銨合成四丁基高氯酸銨,收率約95%;

2.通過四丁基碘化銨合成四丁基高氯酸銨

合成路線僅供參考